Bezpečnejšie je používať HTTPS namiesto http!
(1) 11.2.2016 Matrix - linear equation, system of linear equations, solution set
(2) 11.2.2016            - elementary row operations
(3) 11.2.2016            - Echelor Form, Reduced Echelor Form
(4) 11.2.2016            - pivot position, row reduction
(5) 11.2.2016            - row reduction
(6) 11.2.2016 Vectors
(7) 25.2.2016              - exercises
(8) 25.2.2016              - Linear combinations, Span
(9) 25.2.2016              - Matrix equasion
(10) 25.2.2016              - Matrix equasion
(11) 25.2.2016              - exercises
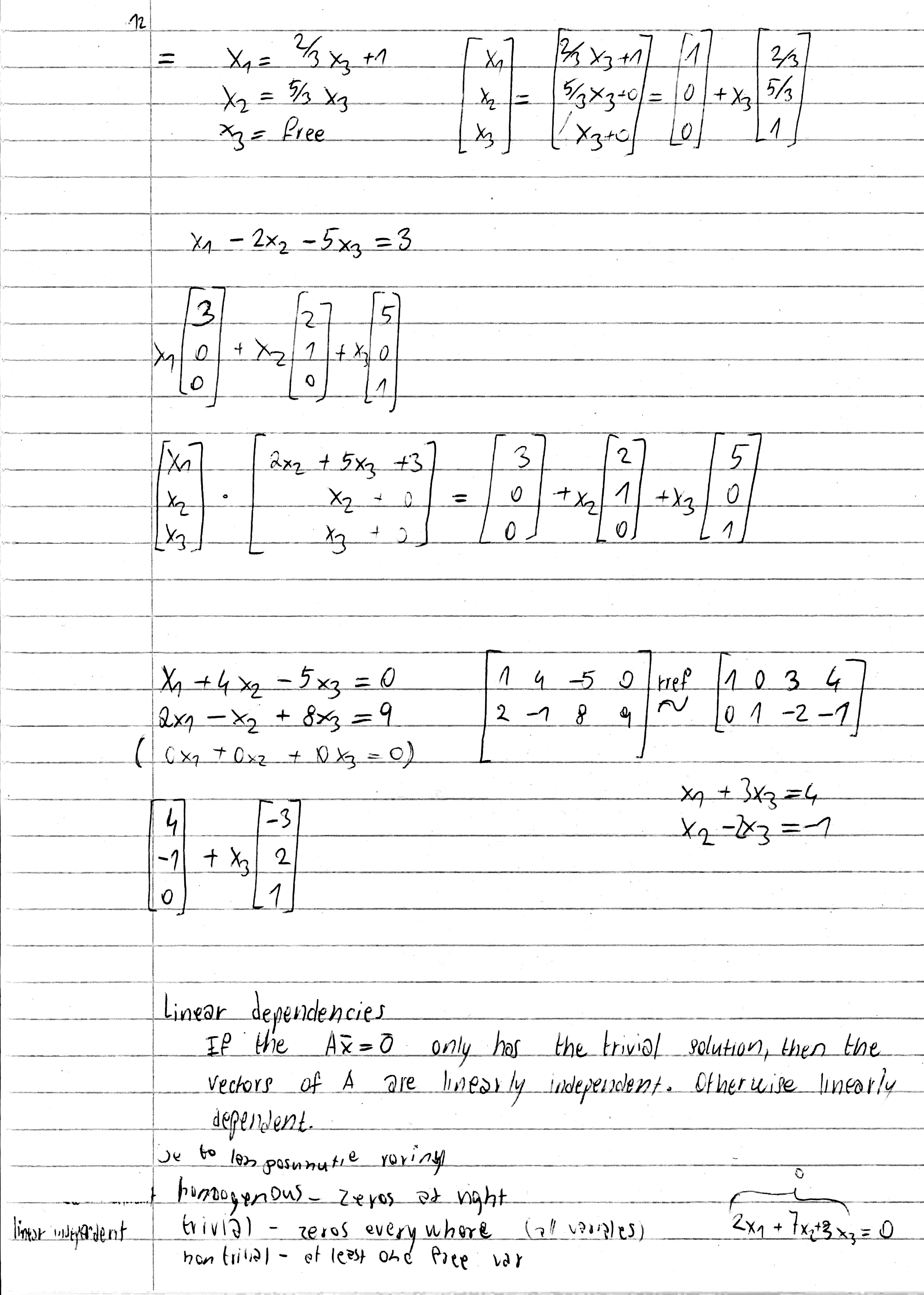
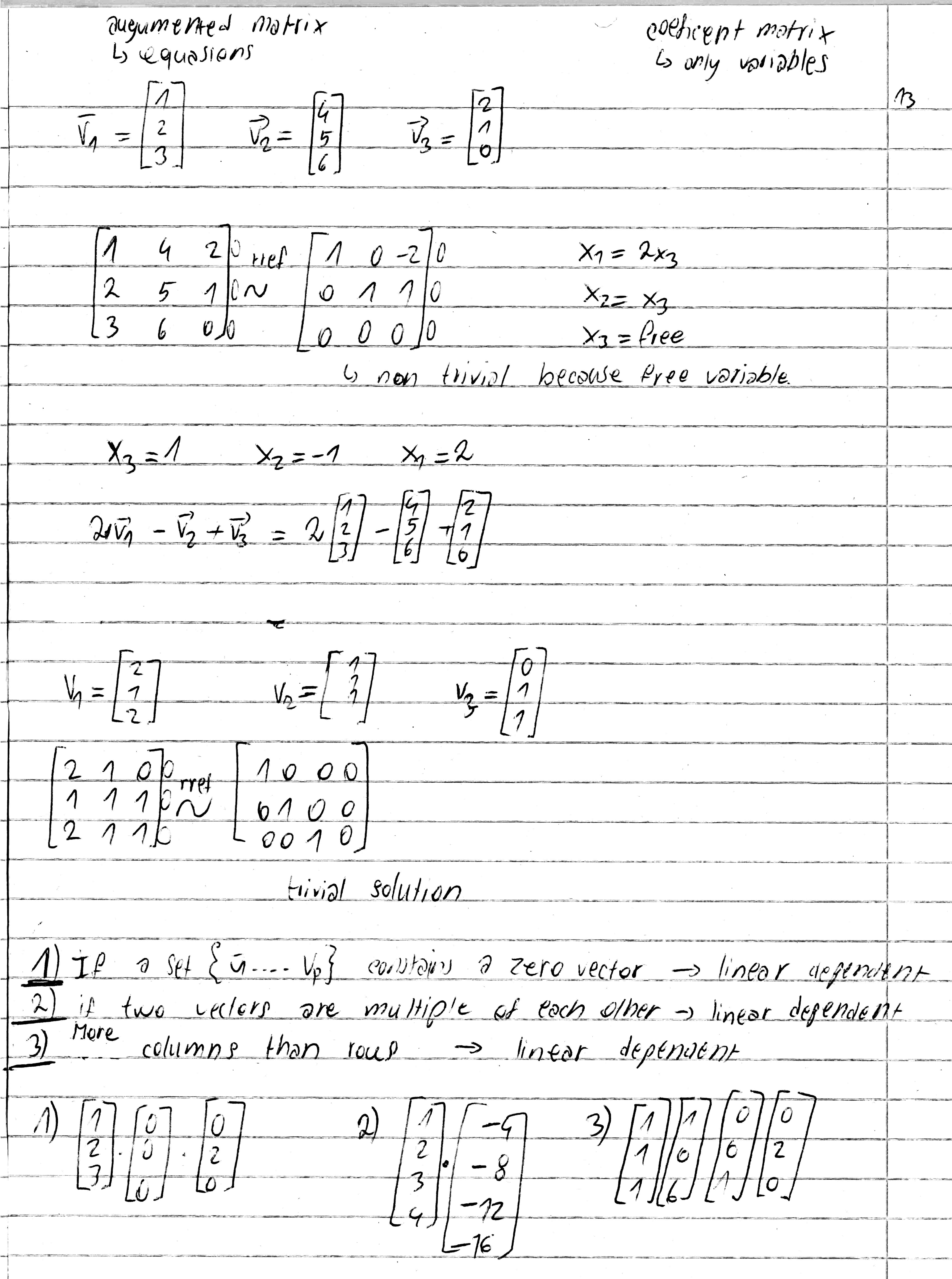
(12) 25.2.2016              - Linear dependencies
(13) 25.2.2016              - Linear dependencies
(14) 3.3.2016 Matrix equasions
(15) 3.3.2016                             - exercises
(16) 3.3.2016 Matrix Operations - Add, Scale, Multiply
(17) 3.3.2016                              - Power
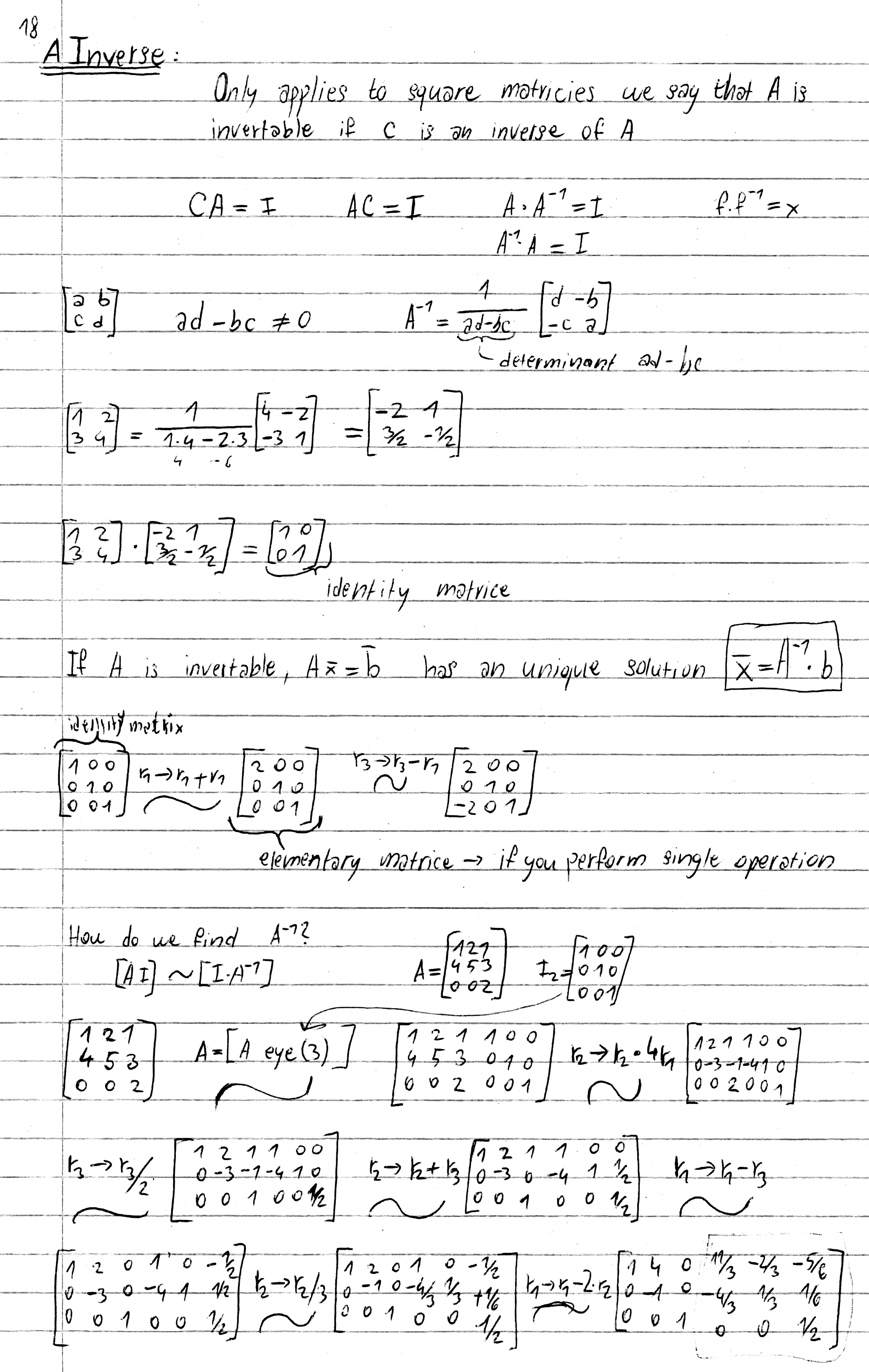
(18) 3.3.2016                              - Inverse
(19) 8.3.2016                              - exercises
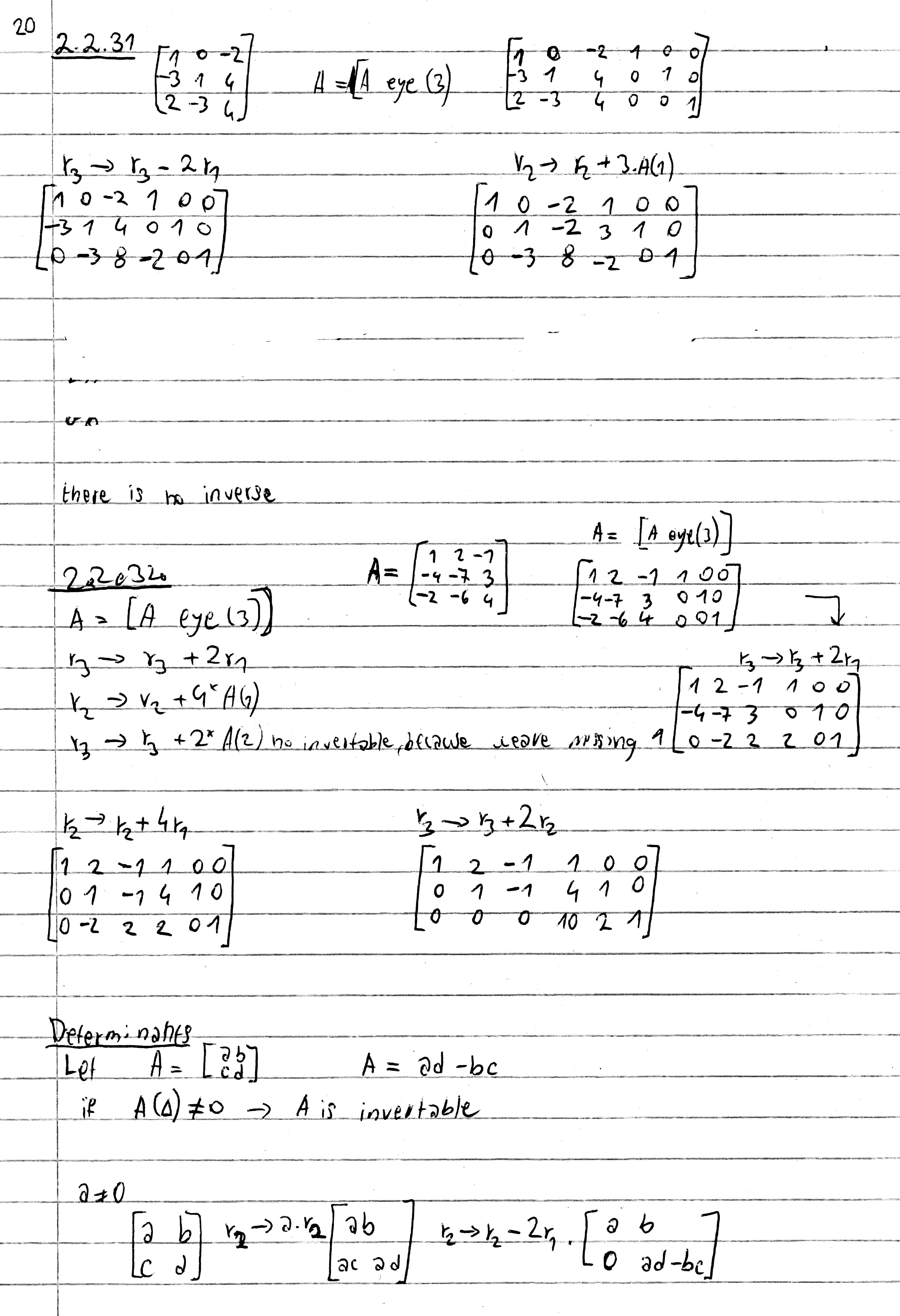
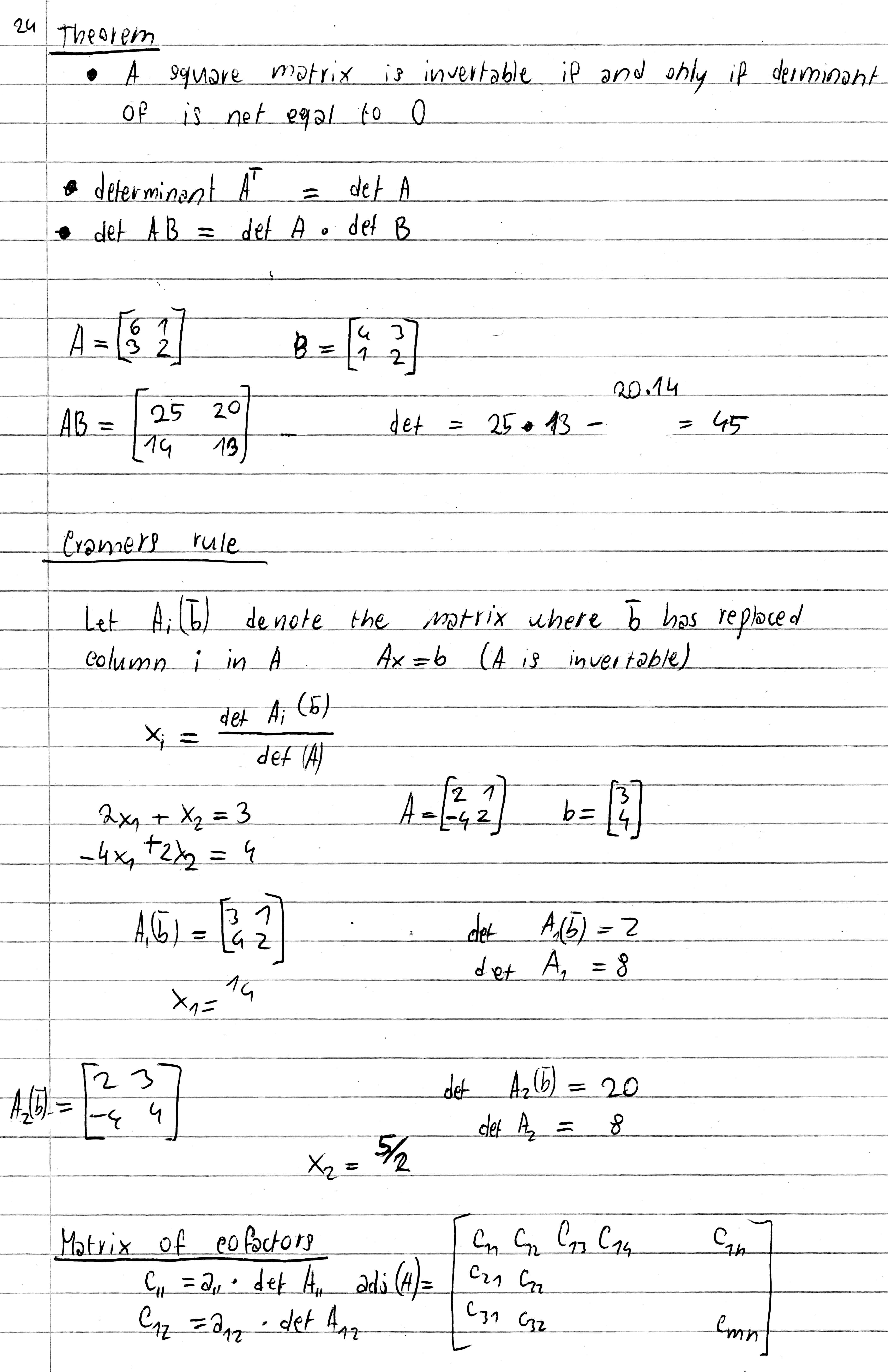
(20) 8.3.2016 Determinants
(21) 8.3.2016 Determinants, Cofactor expansion
(22) 8.3.2016                       - exercises
(23) 8.3.2016                       - exercises
(24) 8.3.2016 Cramer's Rule
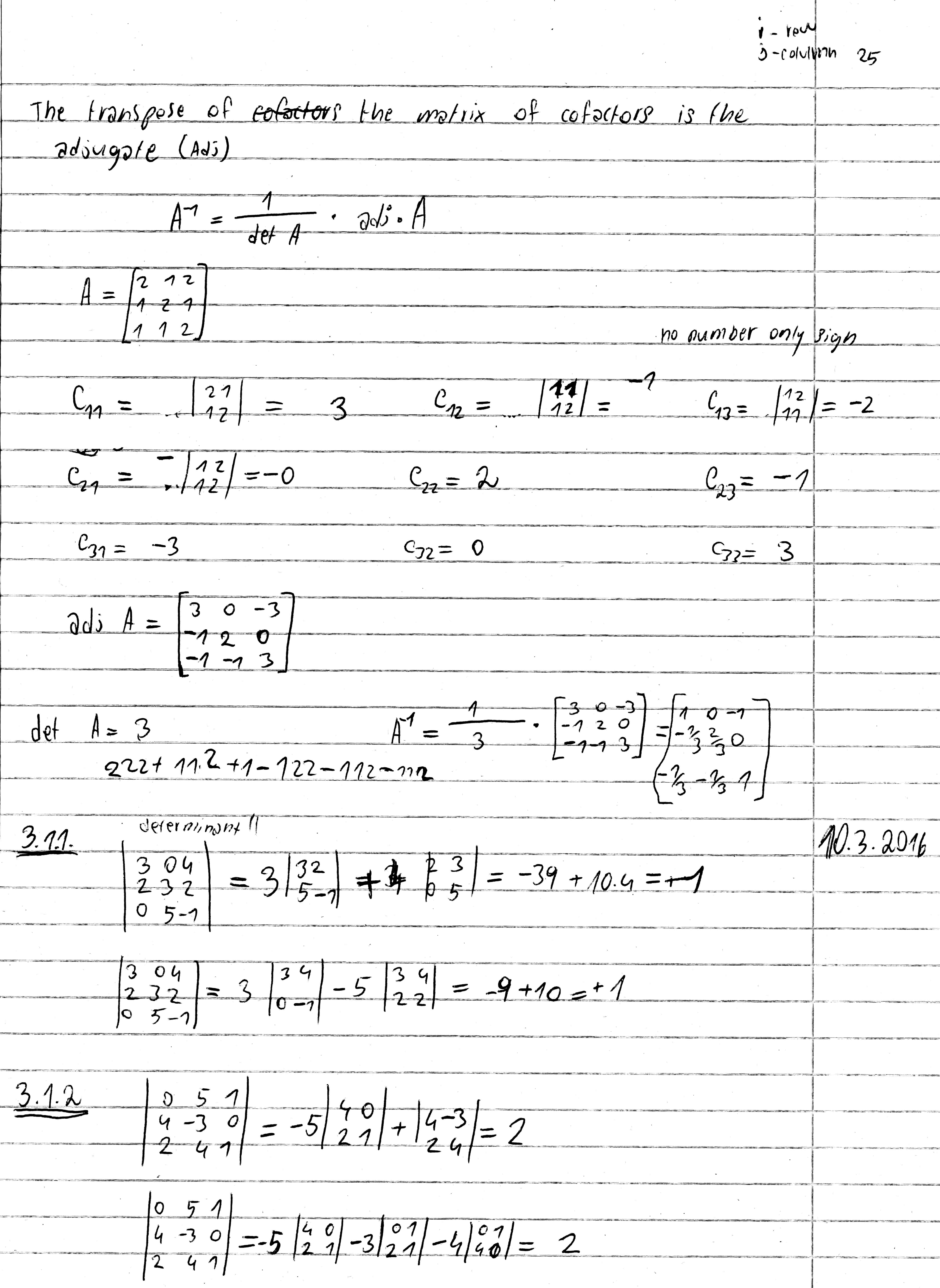
(25) 10.3.2016 Matrix of cofactors
(26) 10.3.2016                               - exercises
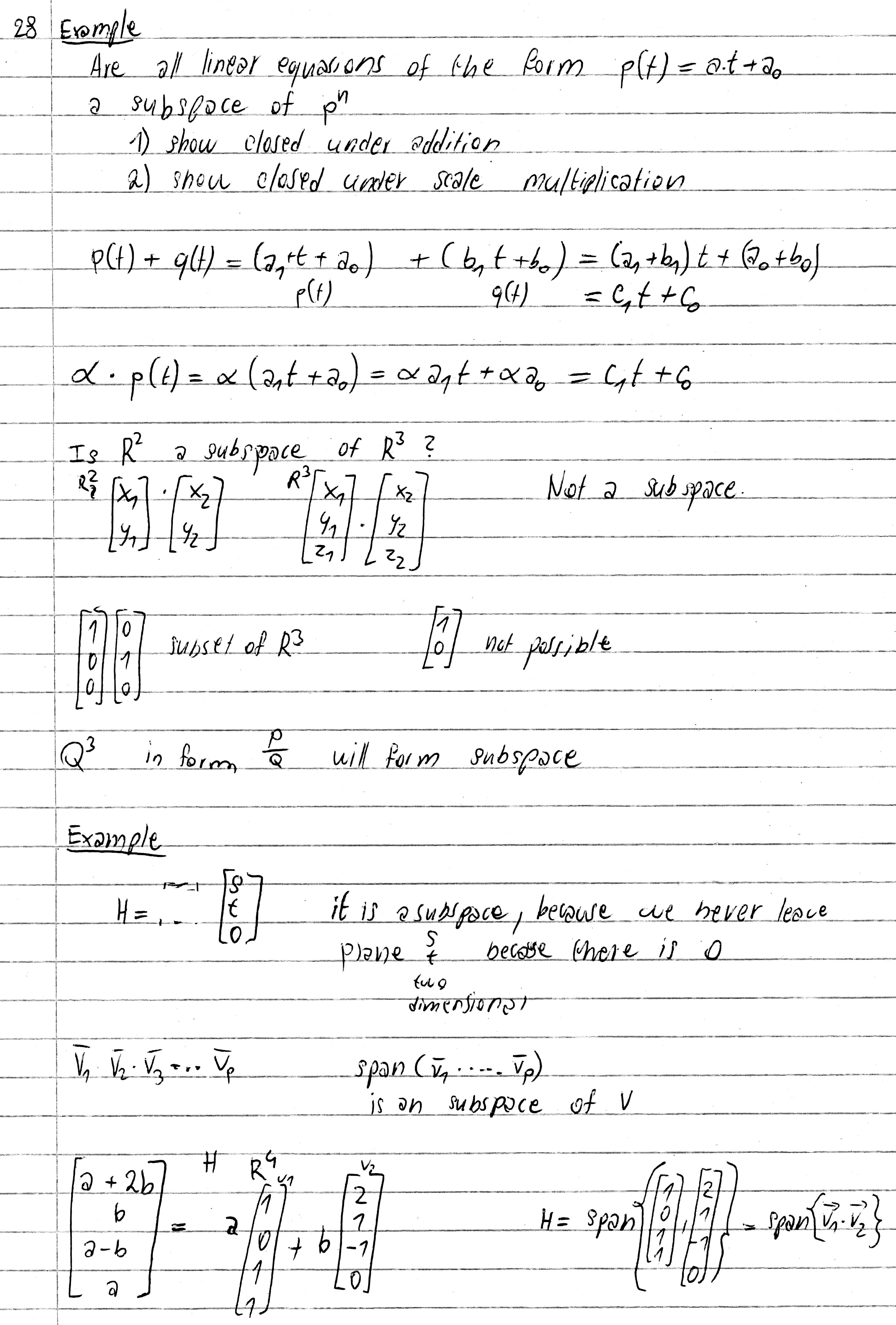
(27) 10.3.2016 Vector space - subspace
(28) 10.3.2016                      - examples
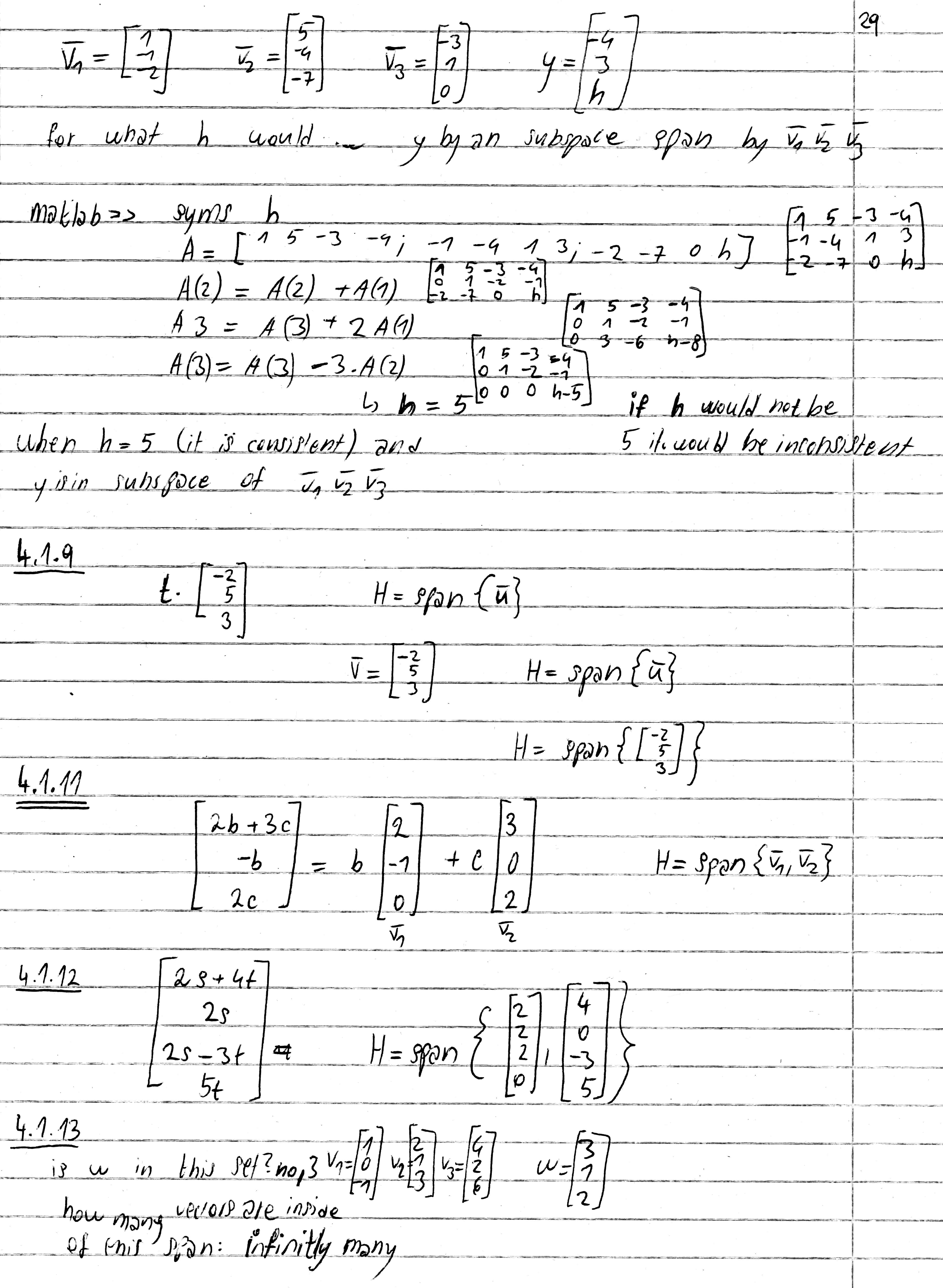
(29) 10.3.2016                      - exercises
(30) 10.3.2016                      - exercises
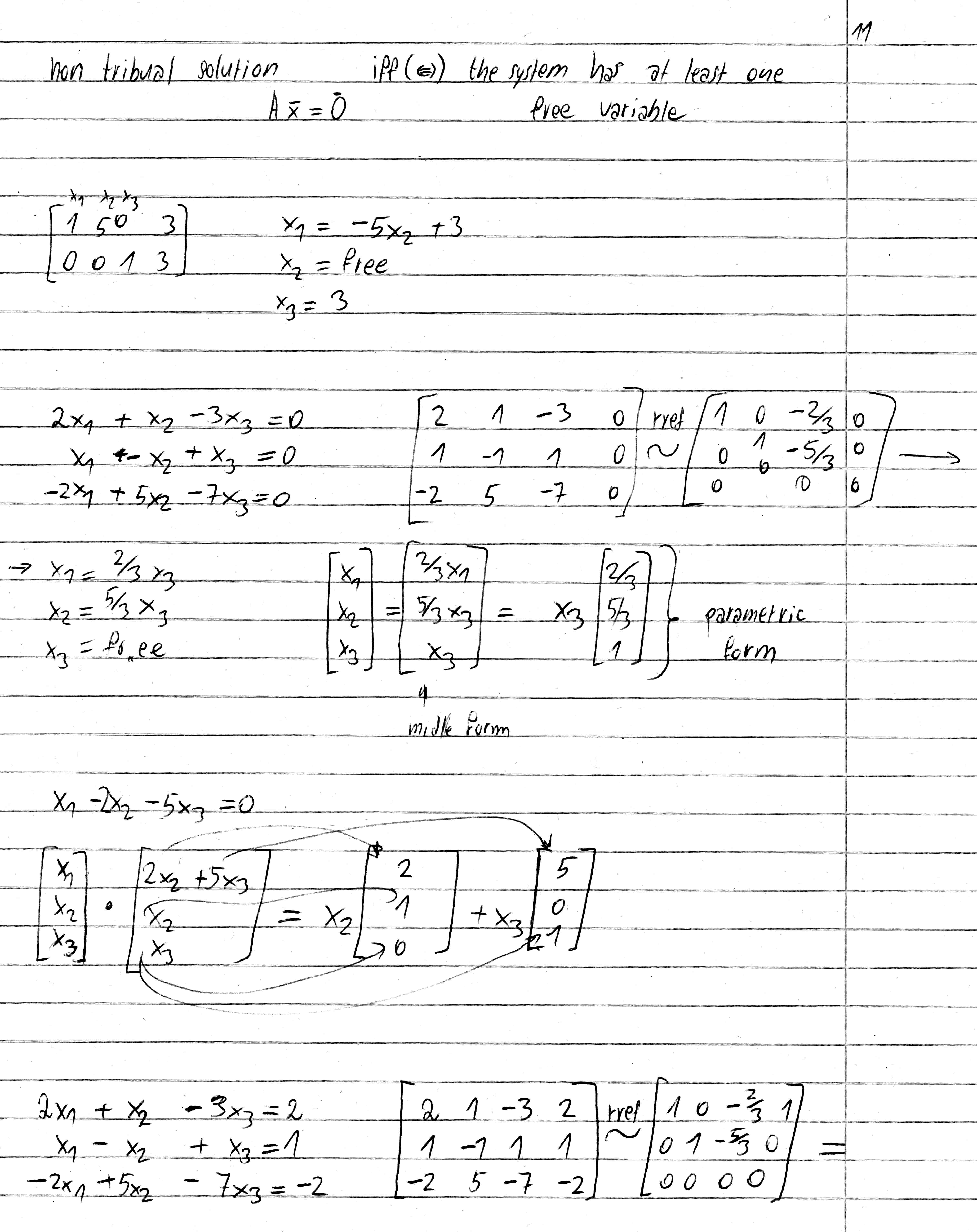
(31) 10.3.2016 Null space, Column space
(32) 10.3.2016                   - assignment 2 (a)
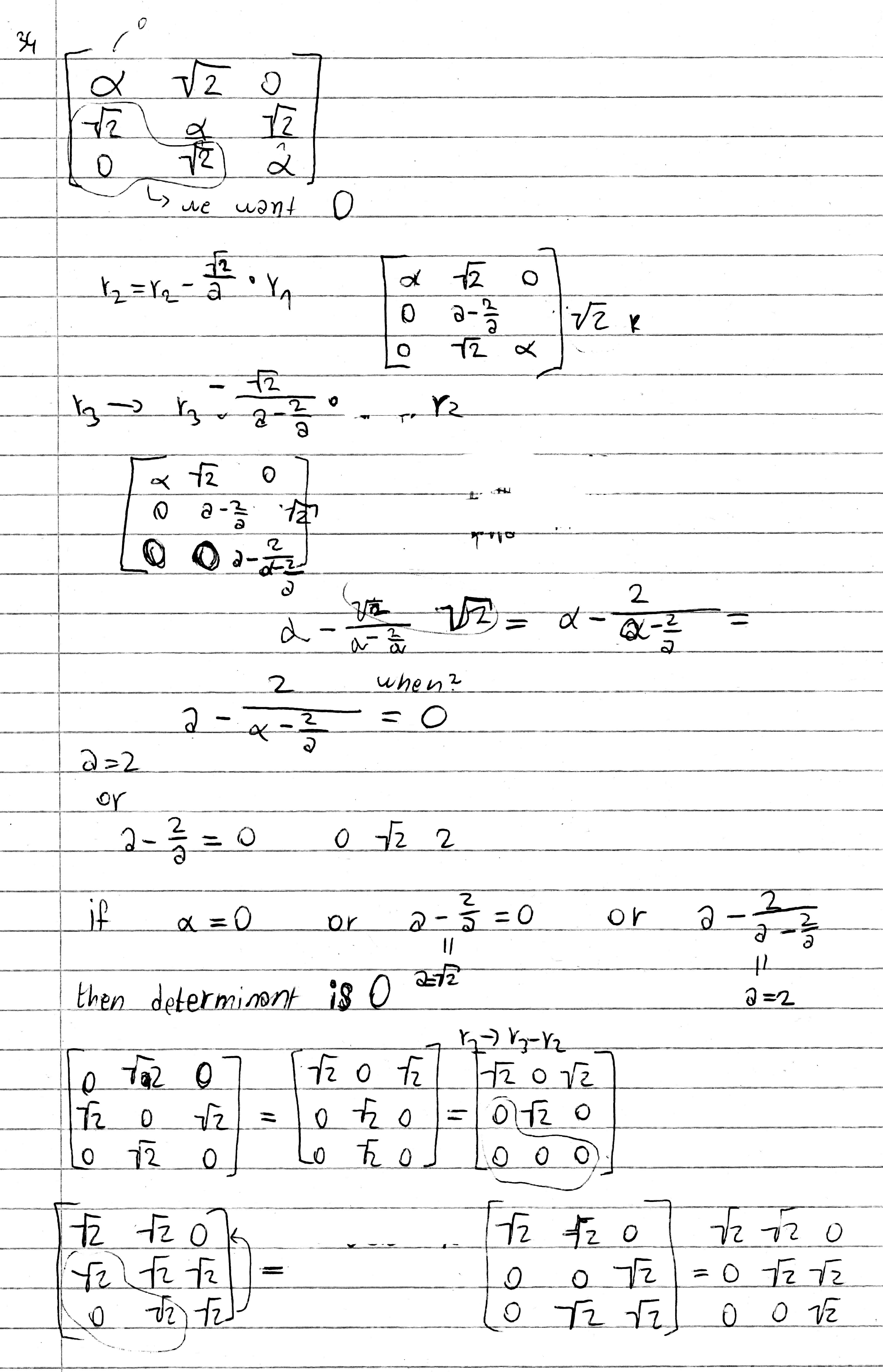
(33) 10.3.2016                   - assignment 2 (b, c)
(34) 10.3.2016                   - assignment 2 (c)
(35) 17.3.2016 Key concepts
(36) 17.3.2016 Independence - Basis, basis of null space, basis of column space
(37) 17.3.2016                        - exercises
(38) 31.3.2016 Dimensions
(39) 31.3.2016 Rank
(40) 31.3.2016          - exercises
(41) 31.3.2016          - exercises
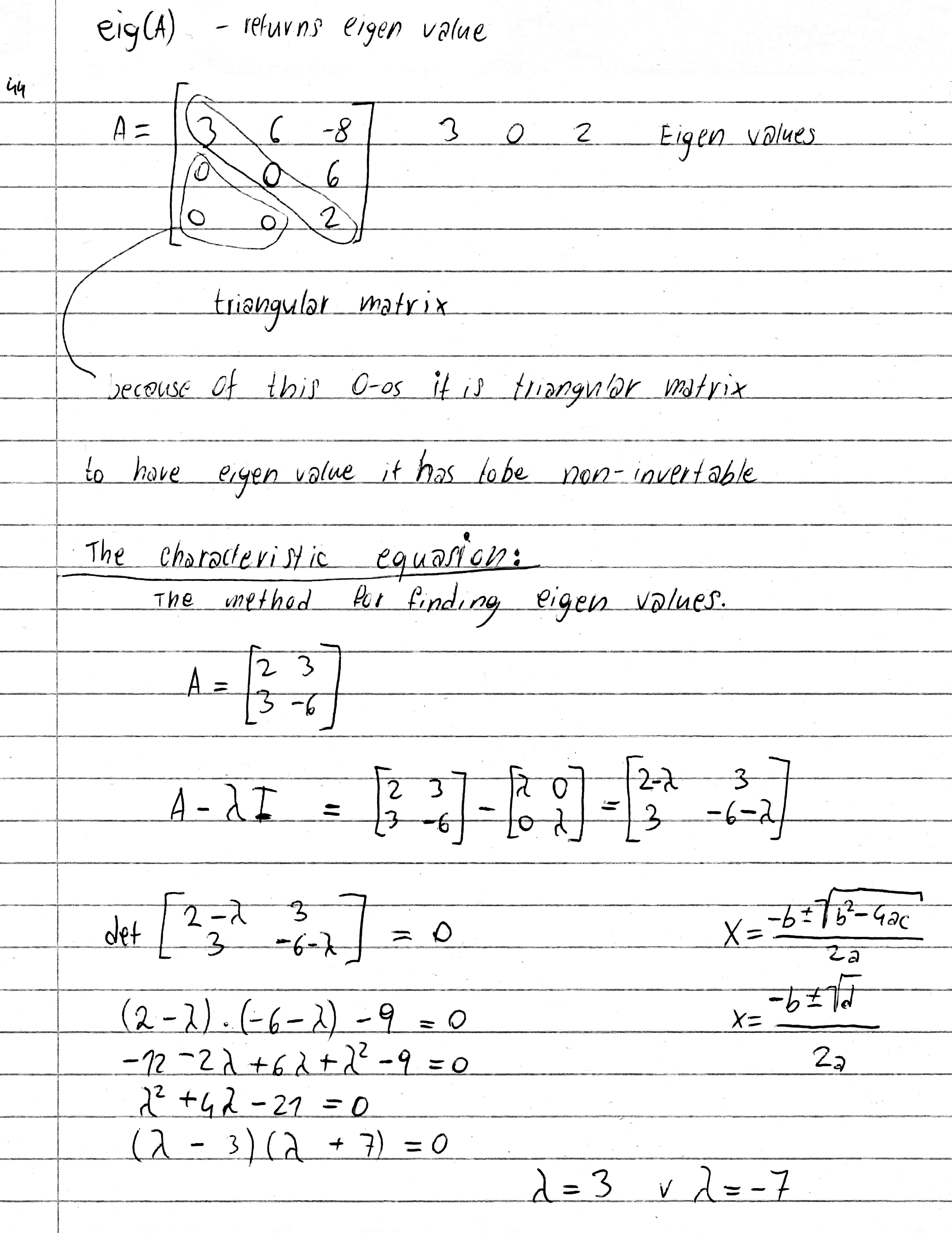
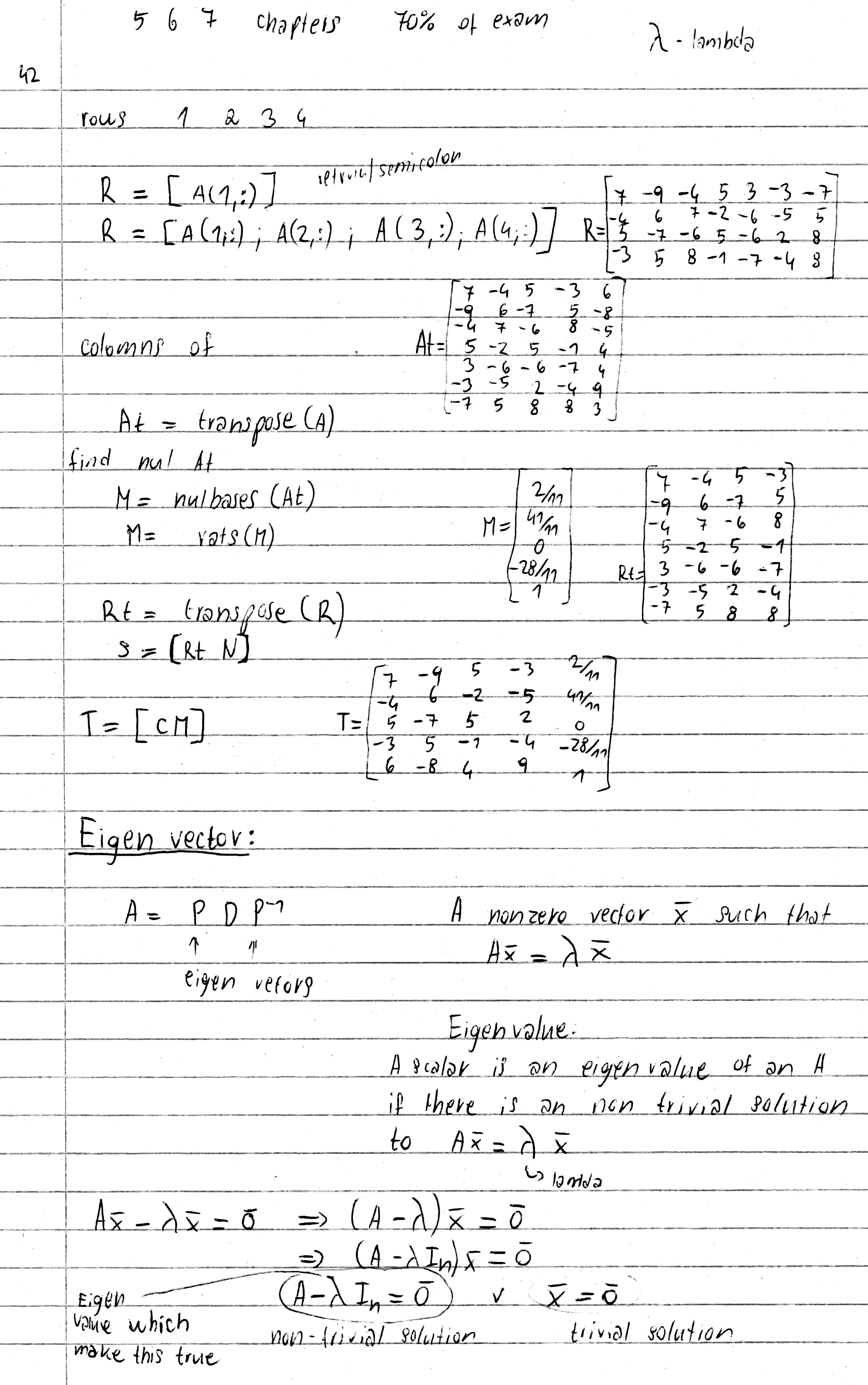
(42) 31.3.2016 Eigen vector
(43) 31.3.2016 Eigen space
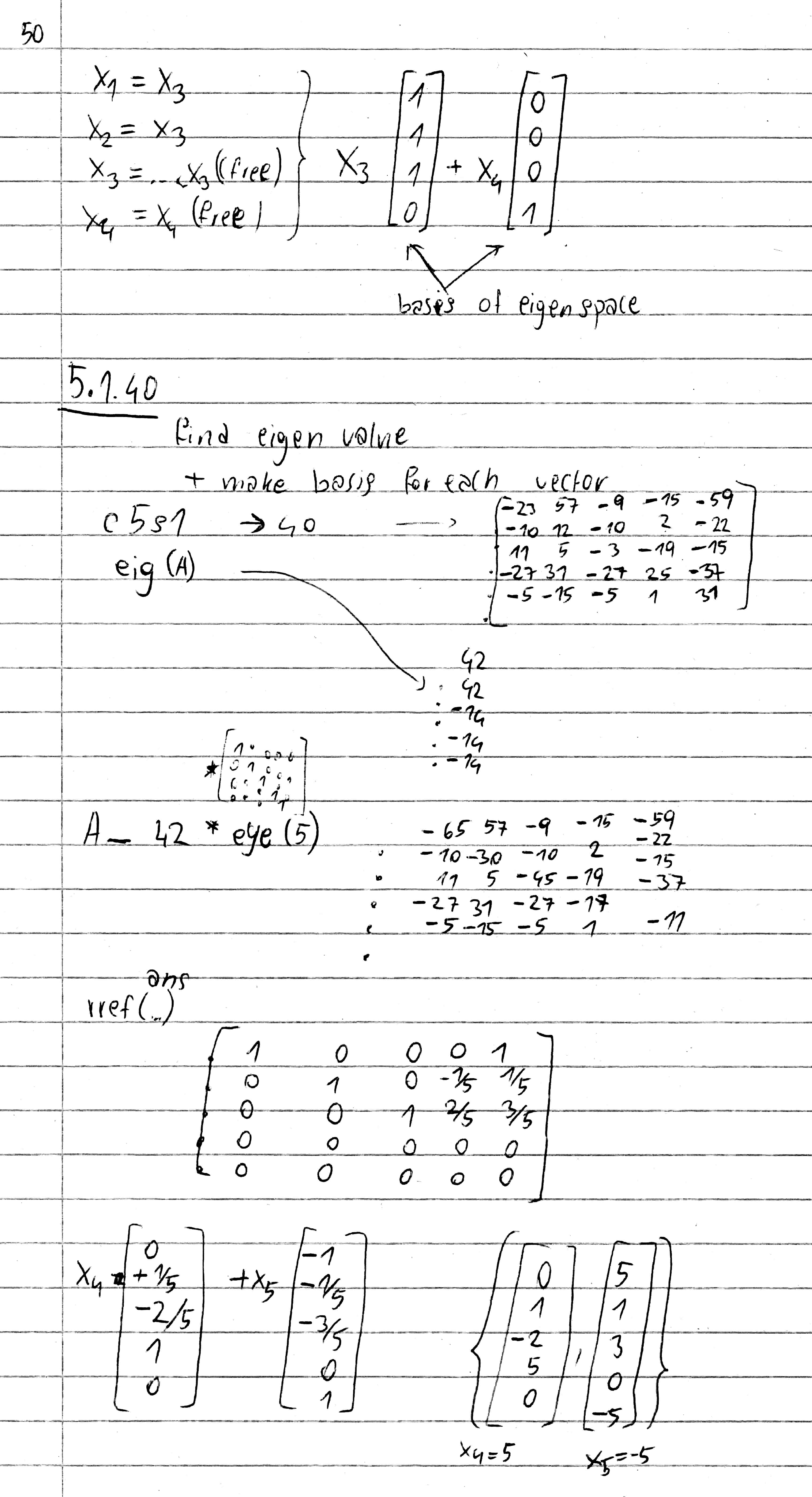
(44) 31.3.2016                     - exercises
(45) 31.3.2016 Factorization, Multiplicity, Diagonalization
(46) 7.4.2016                      - exercises, eigen vector, eigen value
(47) 7.4.2016                      - diagonalization
(48) 7.4.2016                      - exercises
(49) 7.4.2016                      - exercises
(50) 7.4.2016                      - exercises
(51) 7.4.2016                      - exercises
(52) 7.4.2016                      - exercises
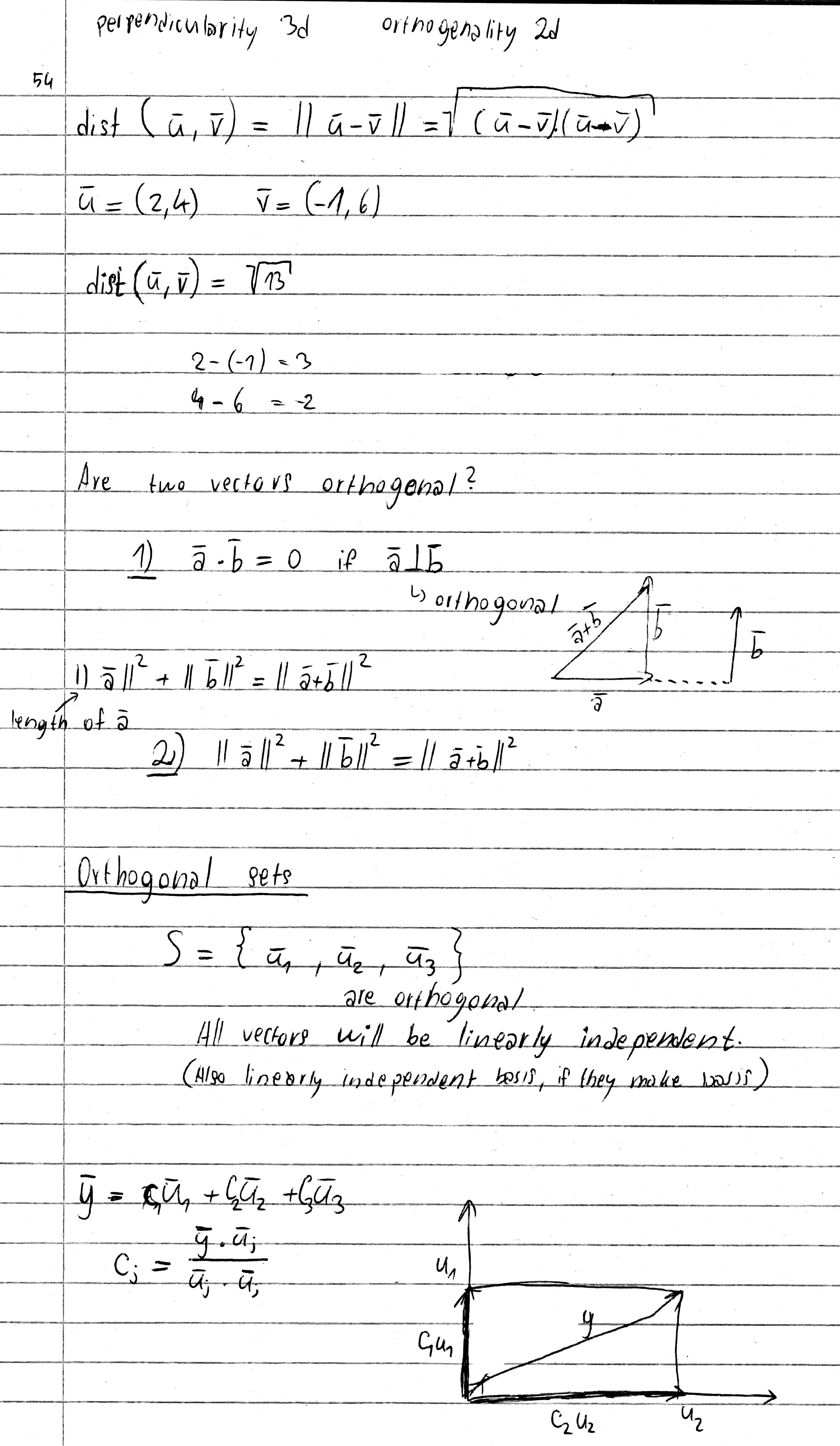
(53) 7.4.2016 Orthogonality - examples
(54) 7.4.2016                       - Orthogonal sets
(55) 14.4.2016                       - Inner product (dot product), Distance
(56) 14.4.2016 Projection
(57) 14.4.2016                 - Exam Ali 2014 (Assignment 1 - a)
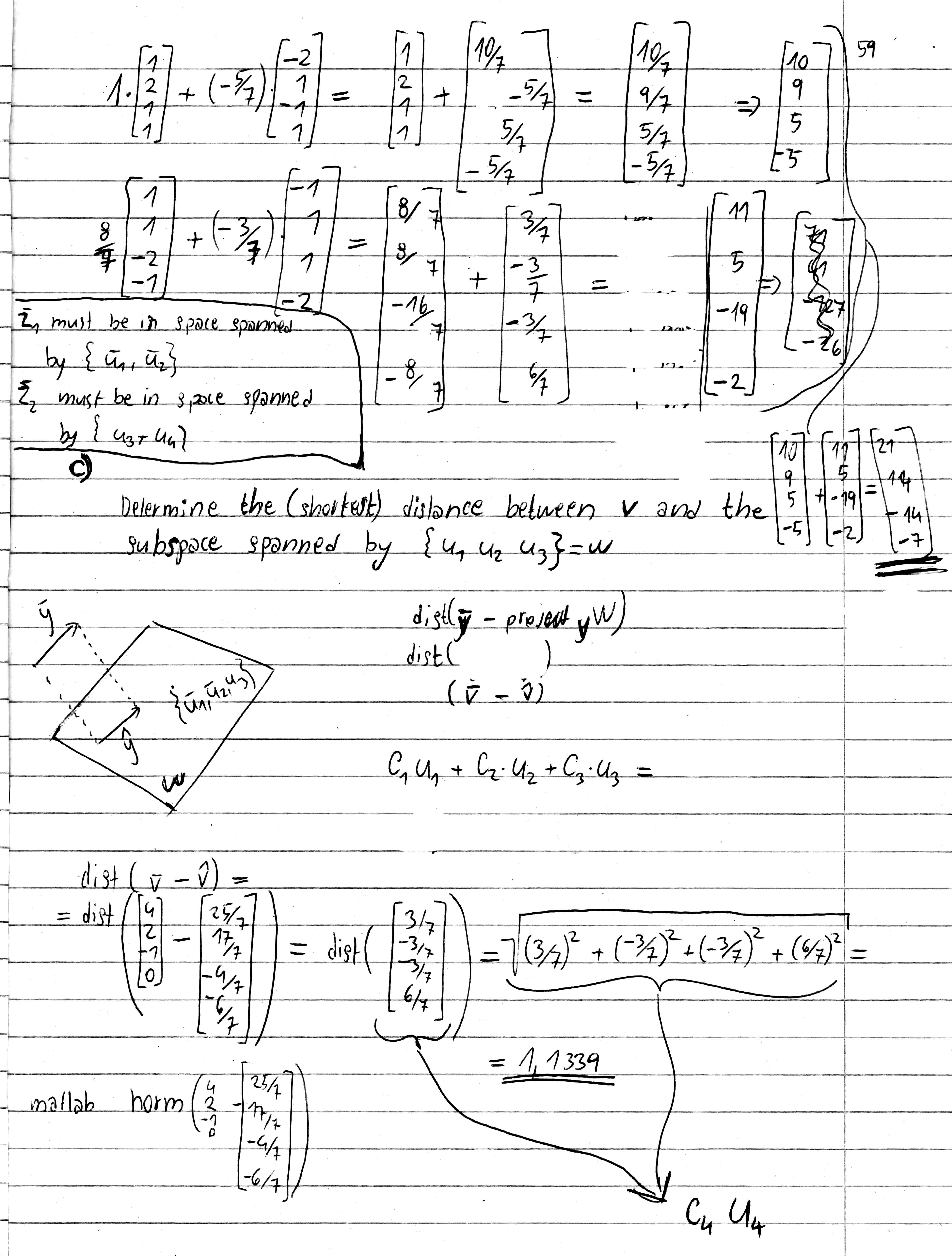
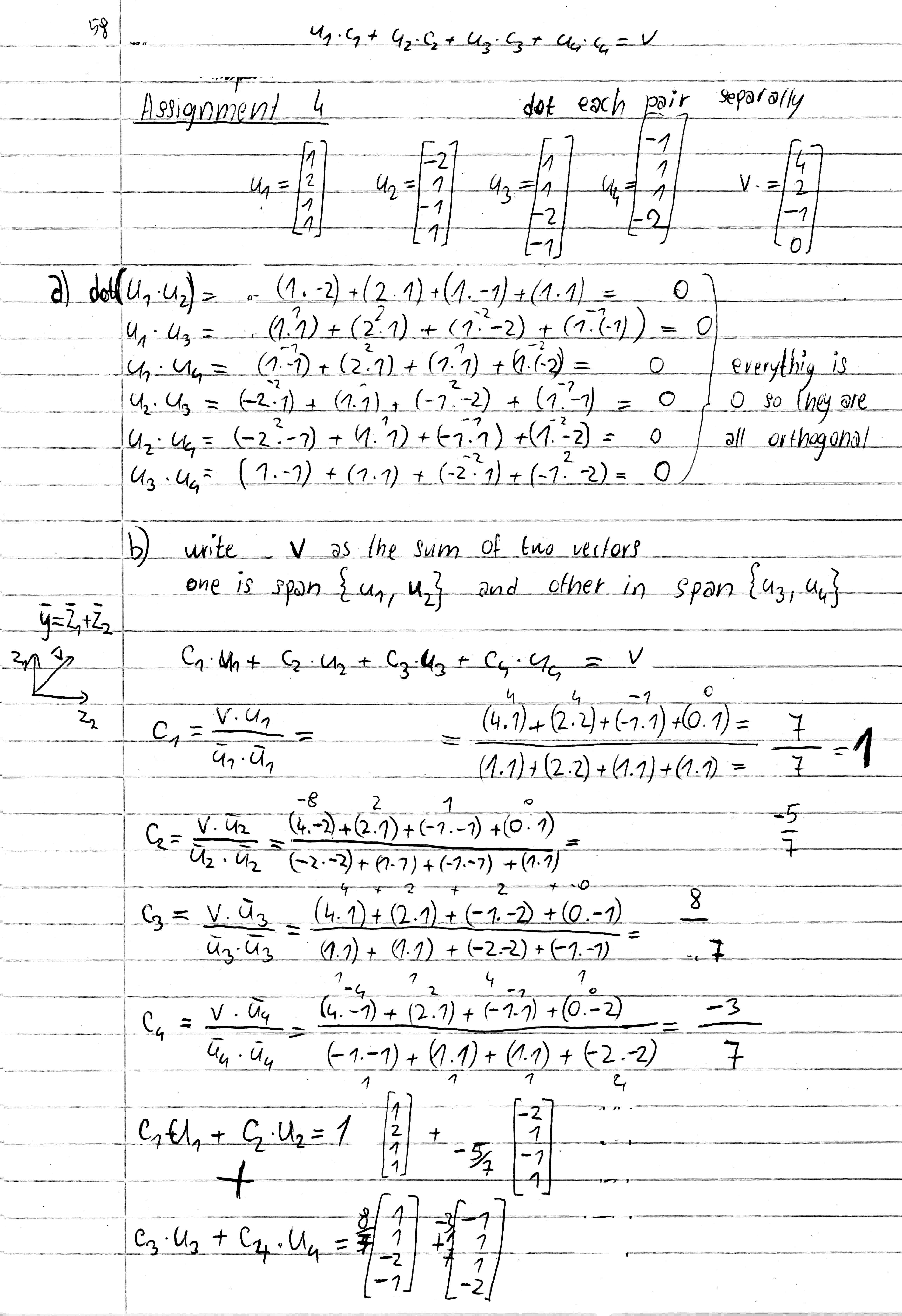
(58) 14.4.2016                 - Exam Ali 2014 (Assignment 4 - a,b)
(59) 14.4.2016                 - Exam Ali 2014 (Assignment 4 - c)
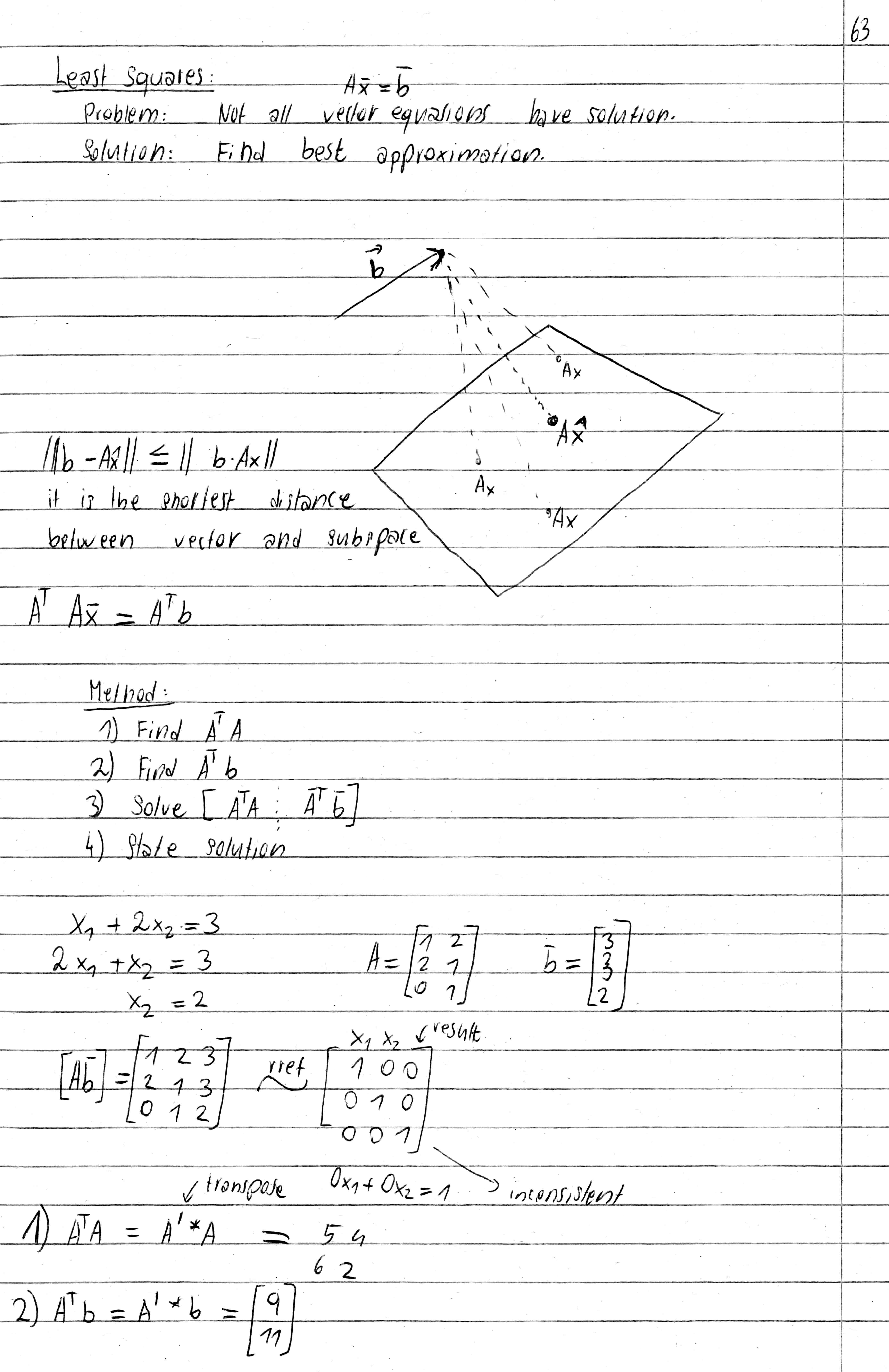
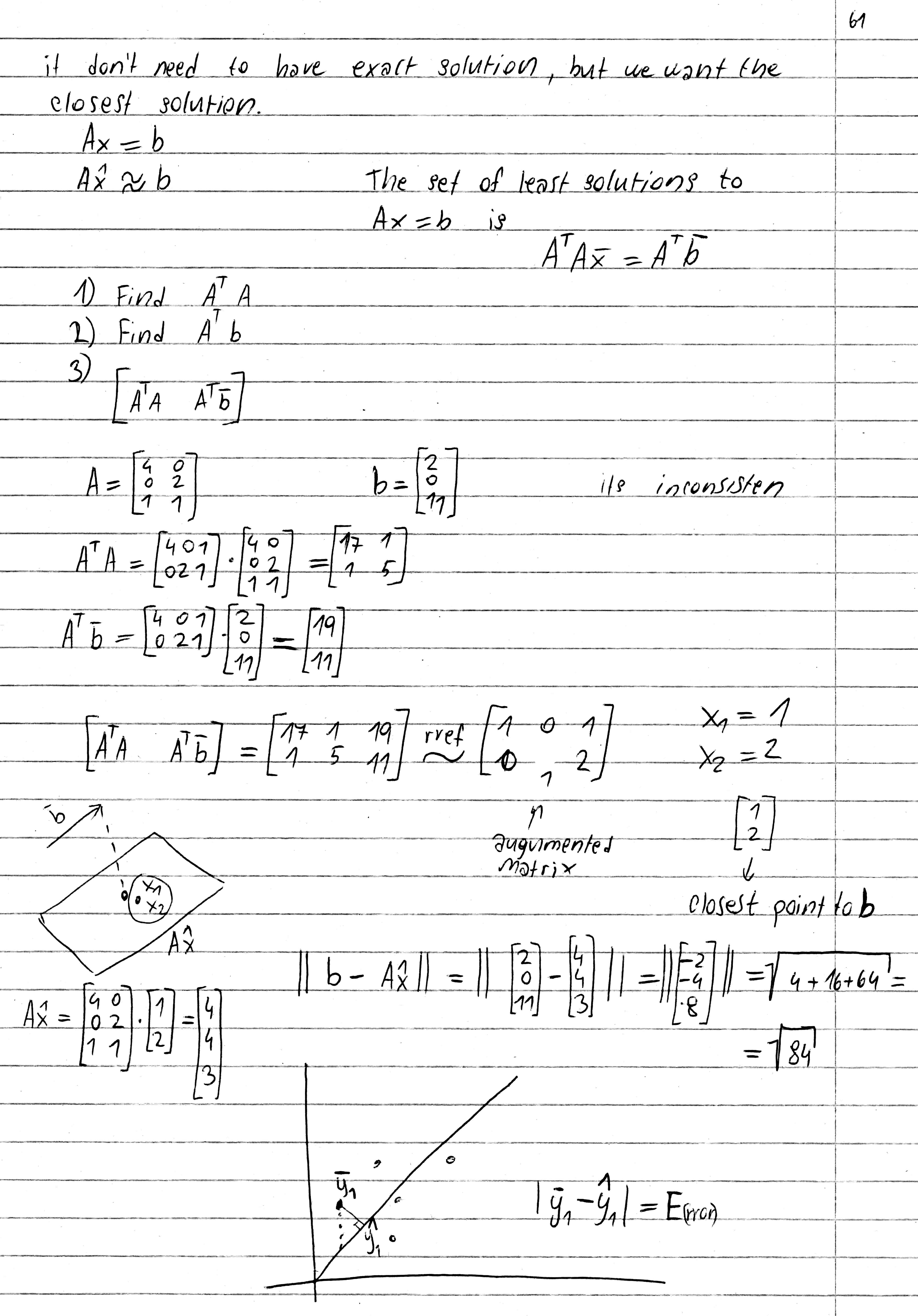
(60) 14.4.2016 Gram-Schmidt process - least square
(61) 14.4.2016                                      - examples
(62) 21.4.2016                                      - examples (Gram-Schmidt process, Orthogonal basis)
(63) 21.4.2016                                      - examples (Least square)
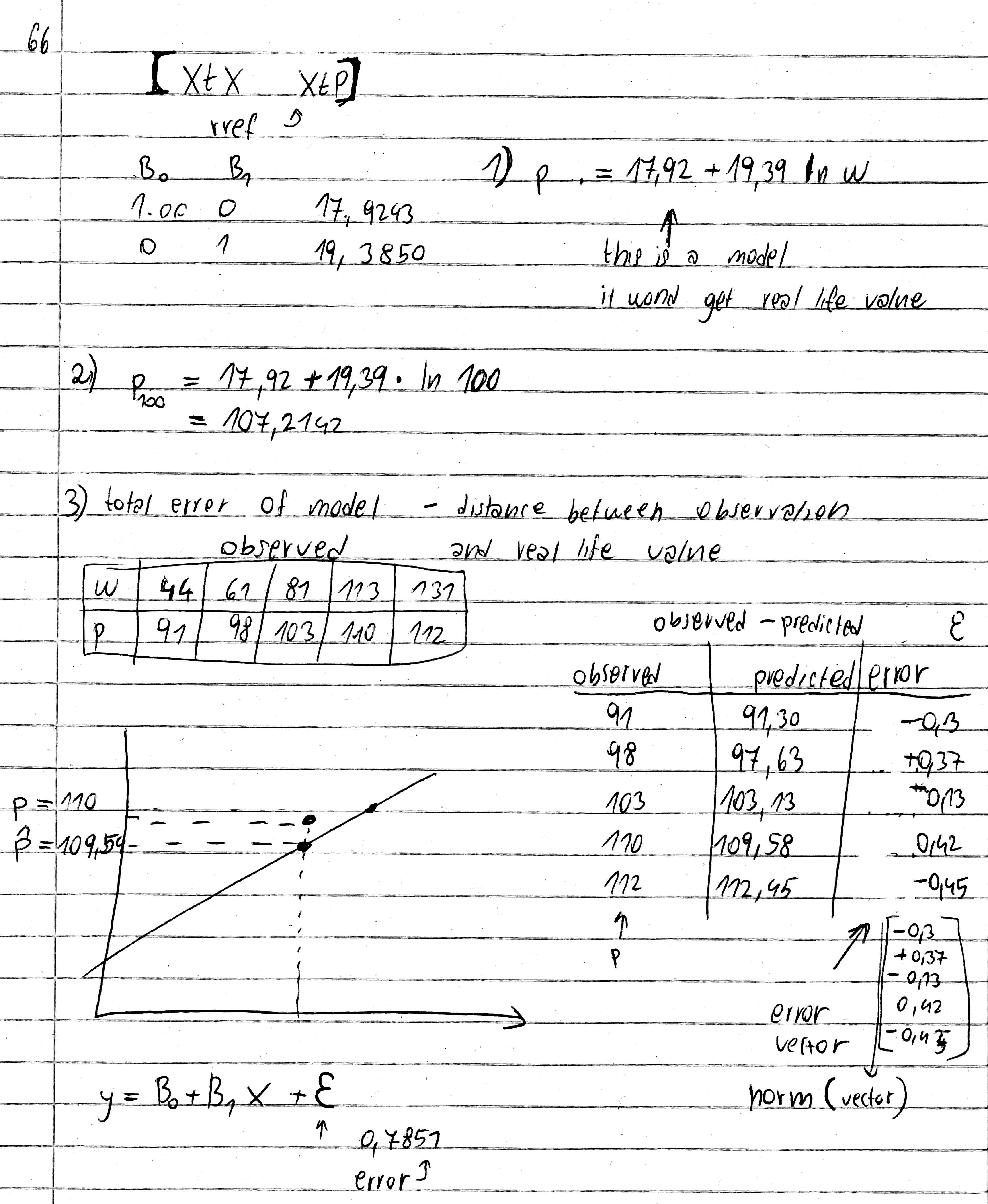
(64) 21.4.2016 Linear models - example
(65) 21.4.2016                         - Method
(66) 21.4.2016                         - Method
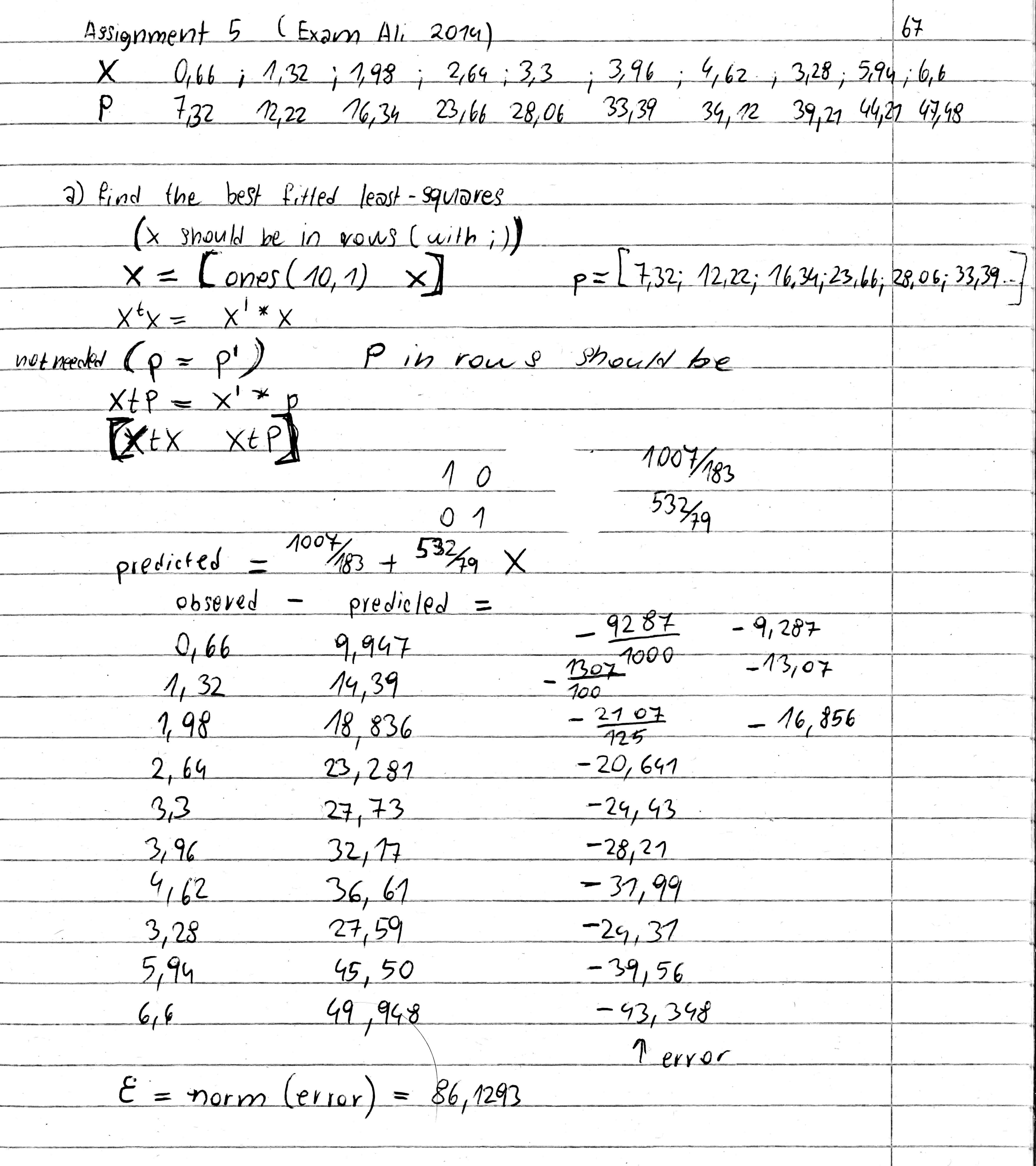
(67) 21.4.2016                         - Assignment 5 (Exam Ali 2014)
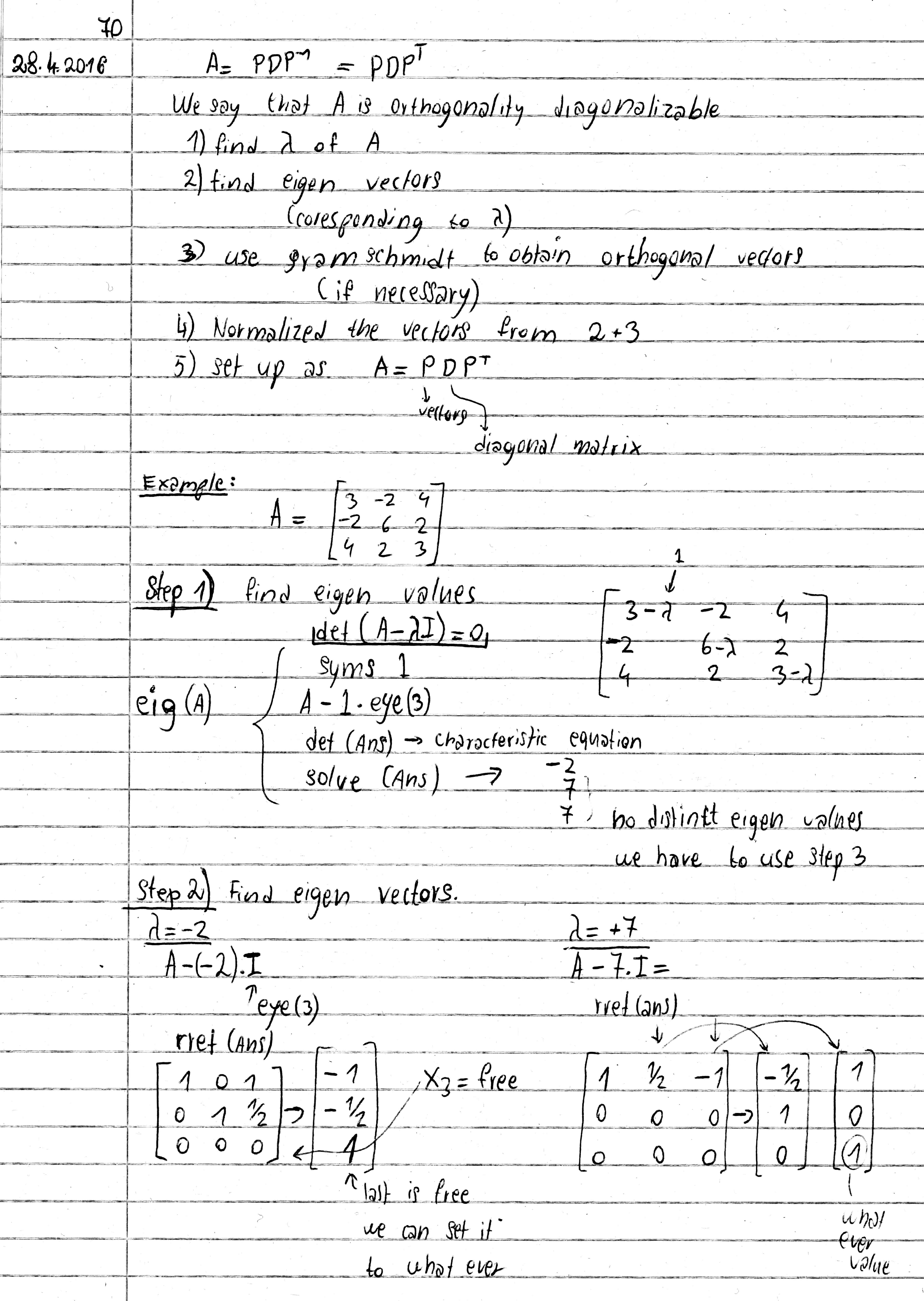
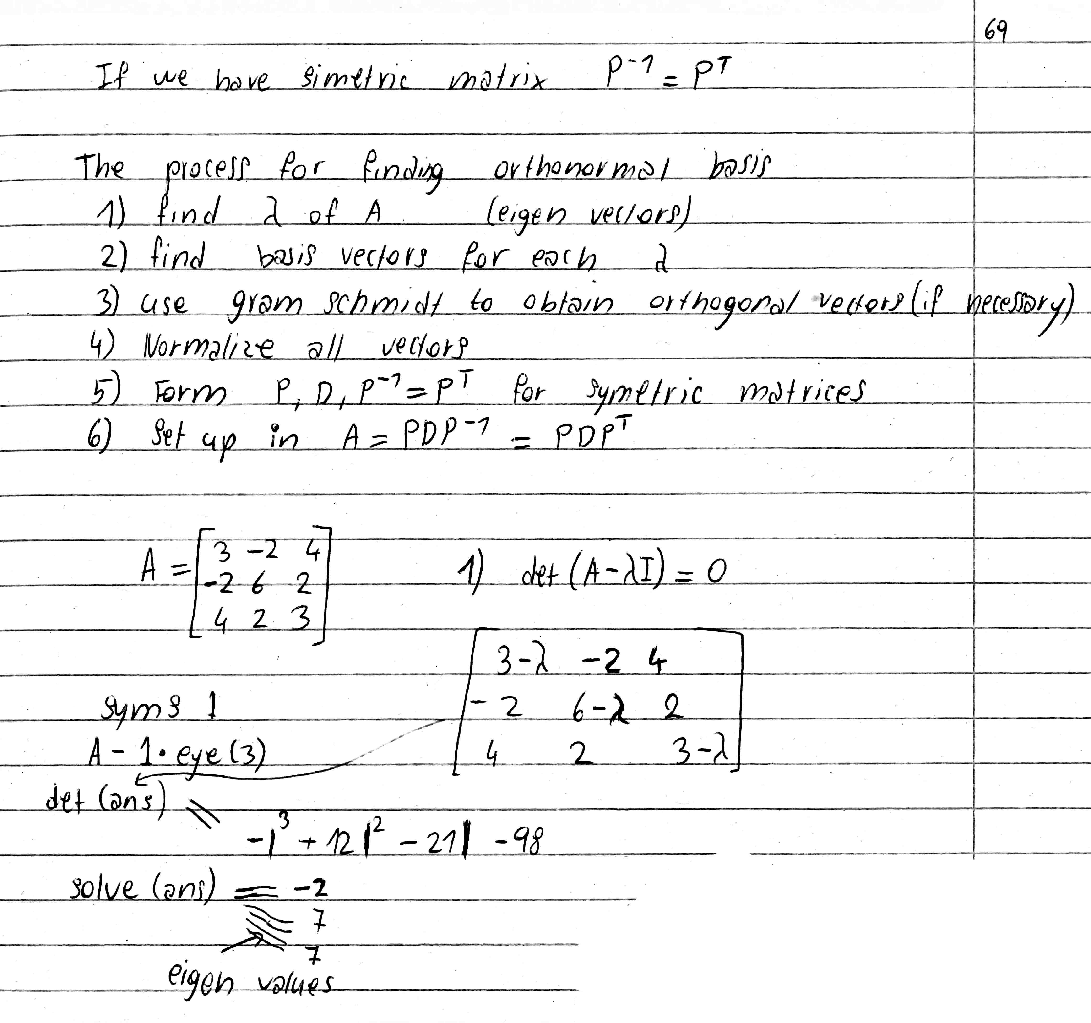
(68) 21.4.2016 Diagonilization of symetric matrices - example, orthonomal basis
(69) 21.4.2016                                                                     - finding orthonomal basis
(70) 28.4.2016                                                                     - finding orthonomal basis (eigen values)
(71) 28.4.2016                                                                     - finding orthonomal basis (eigen vectors, Gram-Schmidt)
(72) 28.4.2016 Test exam 1 - Assignment 1 (a,b,c)
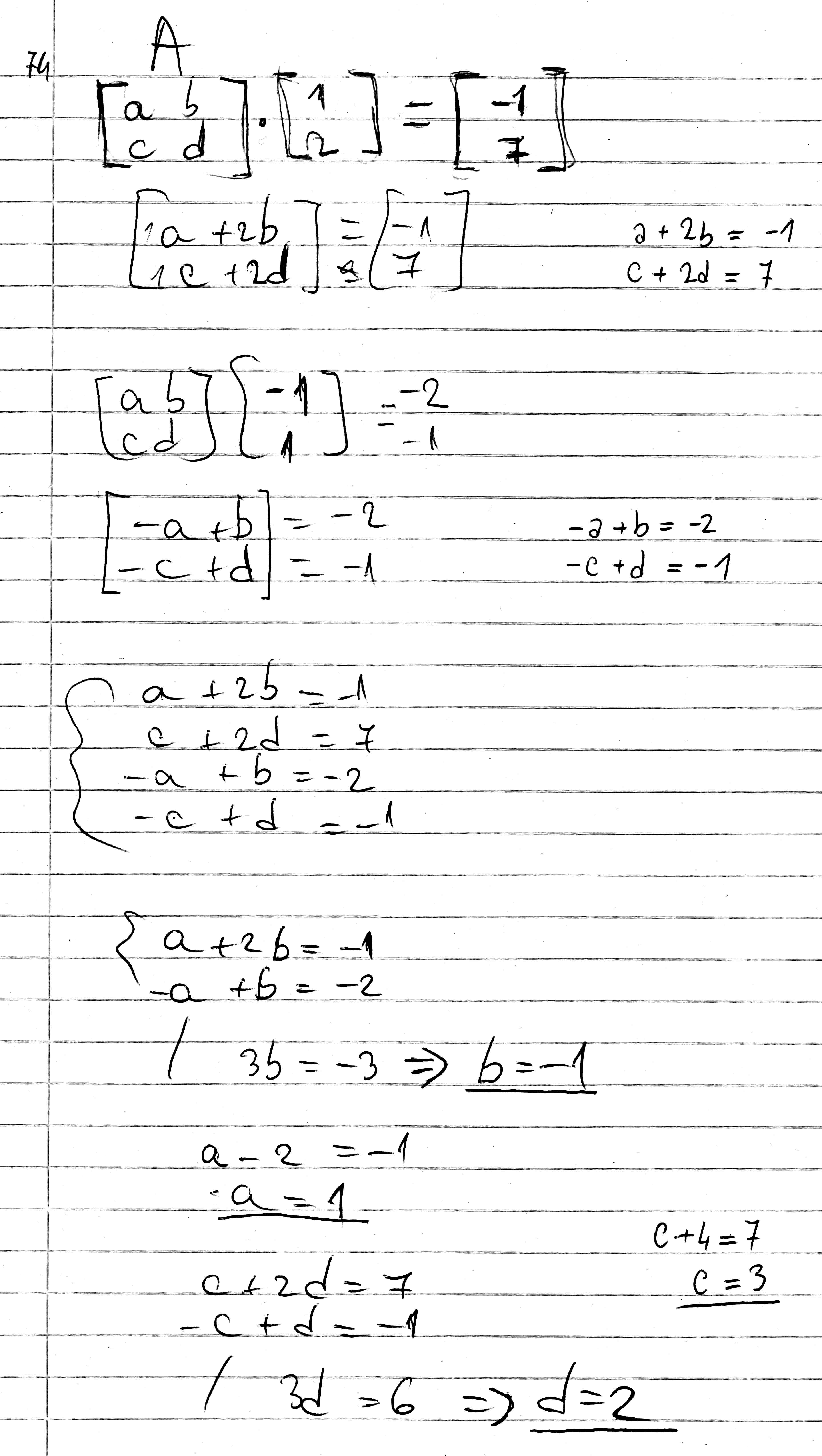
(73) 28.4.2016                         - Assignment 1 (d,e), Assignment 2
(74) 28.4.2016                         - Assignment 2
(75) 28.4.2016                         - Assignment 3 (a,b,c)
(76) 28.4.2016                         - Assignment 4 (1,2) + some usefull things
(77) 28.4.2016 Diagonalization
(78) 28.4.2016 Null space
(79) 19.5.2016 Exam 3 - Assignment 1); 4)
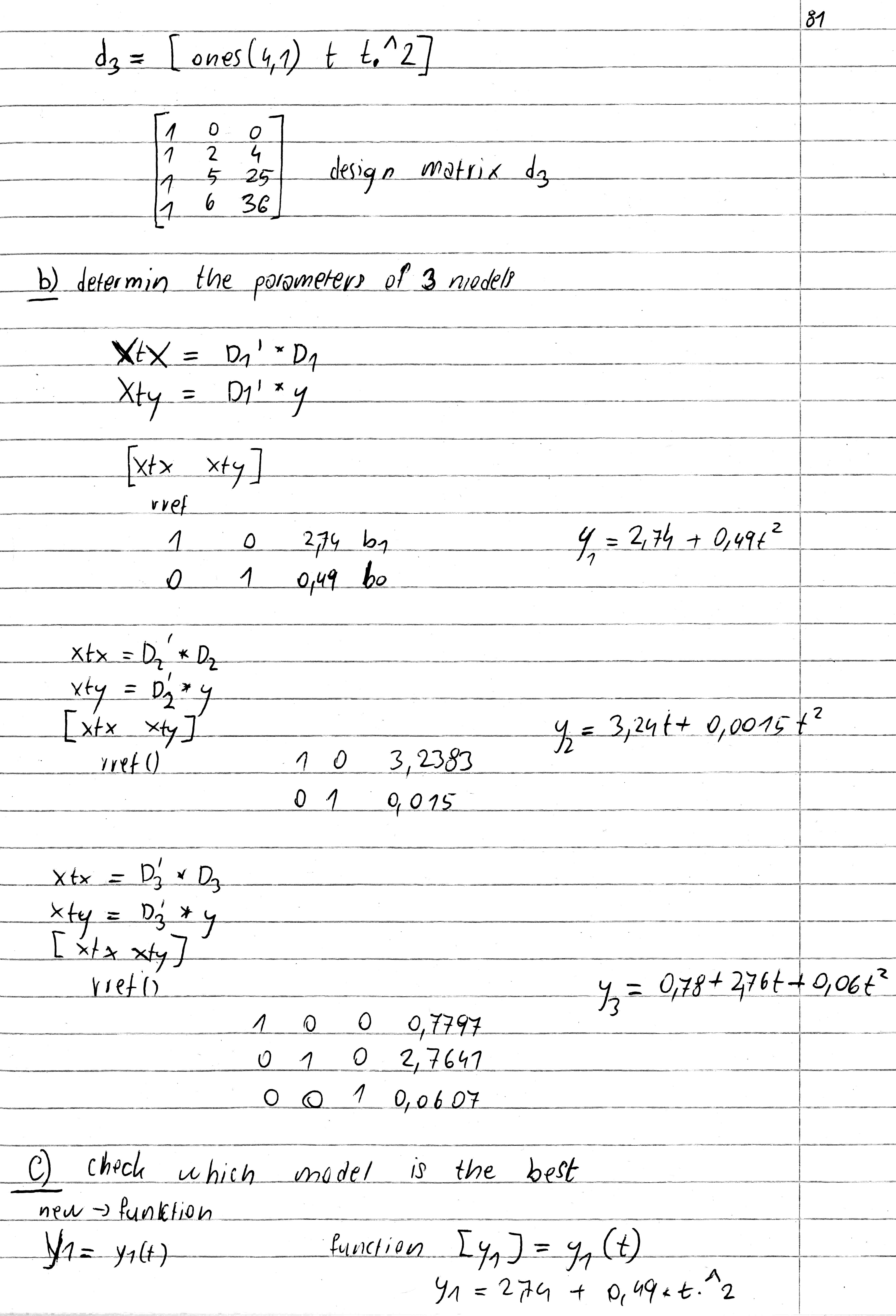
(80) 19.5.2016                - Assignment 5) (square least)
(81) 19.5.2016                - Assignment 5) (square least)
(82) 19.5.2016 Sum of re-exam 2014 - Assignment 5
(83) 19.5.2016 Exam test 3 - Assignment 6 (Singular value decomposition)
(84) 19.5.2016                        - Assignment 6 (Singular value decomposition)
(85) 19.5.2016                        - Assignment 6 (Singular value decomposition)